焊接电流、电弧电压与熔深的关系
在电弧焊接工艺中,熔深是影响接头强度和焊缝质量的关键指标之一。通常认为“电压降低,能量变小”,但在埋弧焊(SAW)中,却常出现“电流提高、电压下降,熔深反而显著增加”的反常现象。为什么会出现这种现象?它是否适用于其他焊接工艺?本文将从热输入公式、电弧物理特性等角度深入探讨。
一、 焊接热输入:理解“熔深”的根本起点
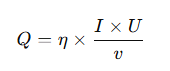
要理解电流、电压与熔深的关系,必须先从焊接热输入说起。焊接热输入 Q 的经典计算公式为:
Q = η × U × I / v
I:焊接电流 (A)
U:电弧电压 (V)
v:焊接速度 (mm/s)
η:热效率
理论上,电流或电压升高都会增加总热量。但实际上,熔深不仅仅取决于热量的“总量”,更取决于热量在工件中的空间分布(热流密度)和能量利用效率。这正是埋弧焊出现“电压降低、熔深反增”的关键所在。
二、 埋弧焊(SAW)的特殊性:电弧收缩与热流集中
在埋弧焊中,电弧完全被厚厚的焊剂覆盖,形成独特的物理环境:
- 高热效率 (η≈0.9~0.98):焊剂形成的“热帽”大幅减少了热损失,电能几乎全部转化为熔池热量。
- 电磁收缩效应:在大电流下,电弧通道的电流密度急剧上升。增强的电磁收缩力将电弧“拉短、压缩”,导致电弧截面变小,电阻降低,从而使弧压下降。
- 热流密度激增:虽然总功率可能略减(因电压降),但电弧的收缩使能量高度集中于一点。这种高密度的热流像“水刀”一样,大幅提升了向下穿透的能力。
因此,即便电弧电压下降,但由于能量更集中,熔深反而显著增加。
三、 其他焊接工艺是否存在同样的规律?
1. 气体保护焊(GMAW / MIG / MAG)
热效率:0.8~0.9。虽然较高,但不及 SAW。
- 电弧暴露在空气中,存在辐射和对流损耗。
- 电流增大通常会拉长电弧,导致弧压同步升高,很难自发出现“电流升、电压降”的现象。
- 若人为压低电压,虽能增加熔深,但容易导致飞溅和焊缝成型不良。
2. 钨极氩弧焊(TIG / GTAW)
热效率:0.6~0.8。
- 非熔化电极,弧长通常固定,电压变化范围很小。
- 强行降低电压(缩短弧长)极易导致钨极触碰工件(夹钨),且电弧稳定性变差。
3. 手工电弧焊(SMAW)
热效率:0.6~0.75。
- 受焊工操作手法影响大,电弧长度波动剧烈。
- 虽然理论上短弧操作可增加熔深,但极不稳定,难以作为工艺规律推广。
结论: “电流增大、弧压下降、熔深增加” 主要是 埋弧焊 特有的物理现象。在制定工艺(WPS)时,工程师不能只看“电流×电压”的总热量数值,更要关注热量的分布形态与热流密度,这才是控制熔深的核心物理本质。